ФотобусАвтобусный транспорт

Информация об изображении

598 КБ


Идентификатор изображения:3344347
Размер файла:598 КБ
Автор:транспортник54
Опубликовано:10.07.2024 15:46 MSK
Находится на сайте, дней:584
Уникальных просмотров:213
Комментариев:0

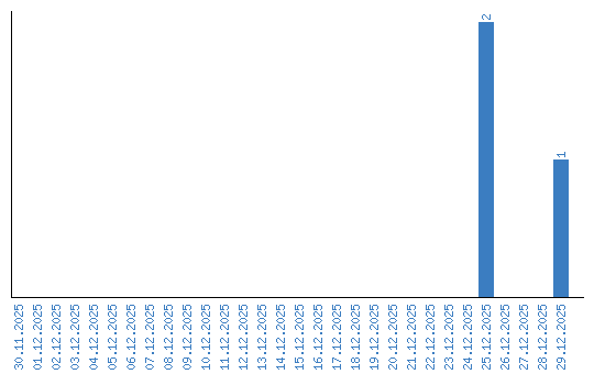
Динамика просмотров по датам