ФотабусАўтобусны транспарт

Iнфармацыя аб малюнку

749 КБ


Ідэнтыфікатар малюнка:3336960
Памер файла:749 КБ
Аўтар:Block
Апублікавана:01.07.2024 17:17 MSK
Знаходзіцца на сайце, дзён:626
Унікальных праглядаў:244
Каментарыяў:0

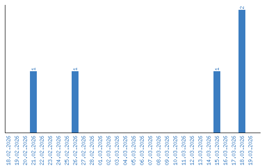
Дынаміка праглядаў па датах