ФотобусАвтобусный транспорт

Информация об изображении

606 КБ


Идентификатор изображения:3332551
Размер файла:606 КБ
Автор:Кас.
Опубликовано:25.06.2024 17:59 MSK
Находится на сайте, дней:616
Уникальных просмотров:155
Комментариев:0

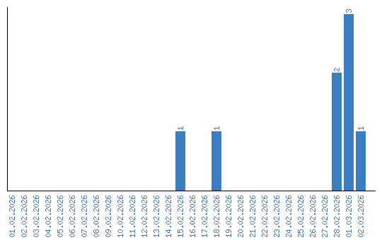
Динамика просмотров по датам