FotobusBusverkehr

Bildinformationen

468 KB


Foto-ID:3332141
Dateigröße:468 KB
Aufgenommen von:Макс И
Veröffentlicht am:25.06.2024 01:20 MSK
Tage seit Veröffentlichung:606
Aufrufe:311
Kommentare:0

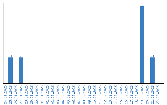
Aufrufestatistik (Tage)