FotobusAutobusų transportas

Nuotraukos informacija

341 KB


Nuotraukos identifikatorius:3329070
Bylos dydis:341 KB
Autorius:dielektrik
Publikuota:21.06.2024 00:33 MSK
Yra tinklapyje dienų:611
Unikalių peržiūrų:225
Komentarų:0

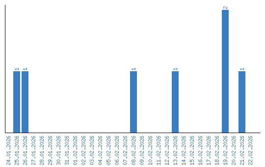
Peržiūrų dinamika pagal dienas