ФотобусАвтобусный транспорт

Информация об изображении

574 КБ


Идентификатор изображения:3324292
Размер файла:574 КБ
Автор:KimB10M
Опубликовано:13.06.2024 21:35 MSK
Находится на сайте, дней:584
Уникальных просмотров:325
Комментариев:0

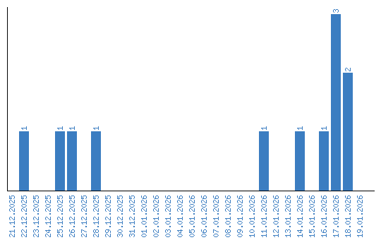
Динамика просмотров по датам