ФотобусАвтобусный транспорт

Информация об изображении

558 КБ


Идентификатор изображения:3313986
Размер файла:558 КБ
Автор:Grenadier_Thomas
Опубликовано:31.05.2024 20:36 MSK
Находится на сайте, дней:546
Уникальных просмотров:115
Комментариев:0

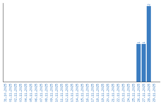
Динамика просмотров по датам