FotobusAutobusová doprava

Statistika obrázku

678 kB


Identifikátor obrázku:3312160
Velikost souboru:678 kB
Autor:Trevoreezy
Zveřejněno:29.05.2024 14:34 MSK
Nachází se na stránkách (dní):650
Jednotlivých zhlédnutí:303
Komentářů:0

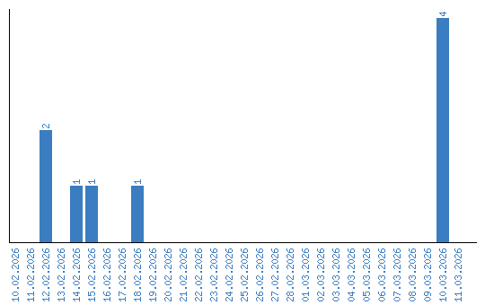
Zhlédnutí po jednotlivých dnech