ФотобусАвтобусный транспорт

Информация об изображении

614 КБ


Идентификатор изображения:3305643
Размер файла:614 КБ
Автор:Клауд
Опубликовано:21.05.2024 16:27 MSK
Находится на сайте, дней:638
Уникальных просмотров:273
Комментариев:0

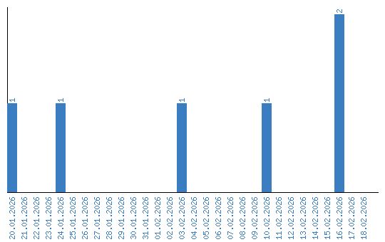
Динамика просмотров по датам