ФотабусАўтобусны транспарт

Iнфармацыя аб малюнку

516 КБ


Ідэнтыфікатар малюнка:3300015
Памер файла:516 КБ
Аўтар:штык
Апублікавана:13.05.2024 23:04 MSK
Знаходзіцца на сайце, дзён:616
Унікальных праглядаў:207
Каментарыяў:0

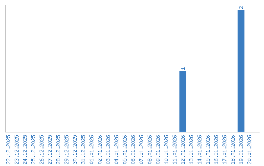
Дынаміка праглядаў па датах