ФотобусАвтобусный транспорт

Информация об изображении

523 КБ


Идентификатор изображения:3298986
Размер файла:523 КБ
Автор:reshz
Опубликовано:12.05.2024 22:23 MSK
Находится на сайте, дней:686
Уникальных просмотров:187
Комментариев:0

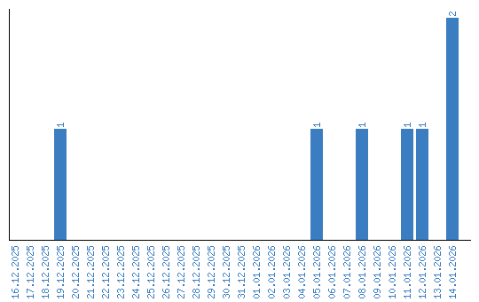
Динамика просмотров по датам