FotobusAutobusų transportas

Nuotraukos informacija

521 KB


Nuotraukos identifikatorius:3298768
Bylos dydis:521 KB
Autorius:Клауд
Publikuota:12.05.2024 19:40 MSK
Yra tinklapyje dienų:694
Unikalių peržiūrų:246
Komentarų:0

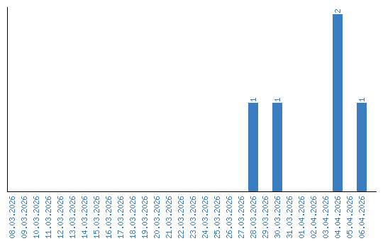
Peržiūrų dinamika pagal dienas