ФотобусАвтобусный транспорт

Информация об изображении

578 КБ


Идентификатор изображения:3290022
Размер файла:578 КБ
Автор:Владислав Захаров
Опубликовано:02.05.2024 17:34 MSK
Находится на сайте, дней:688
Уникальных просмотров:229
Комментариев:0

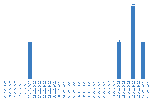
Динамика просмотров по датам