ФотобусАвтобусный транспорт

Информация об изображении

632 КБ


Идентификатор изображения:3286179
Размер файла:632 КБ
Автор:Жоский
Опубликовано:27.04.2024 21:36 MSK
Находится на сайте, дней:660
Уникальных просмотров:245
Комментариев:0

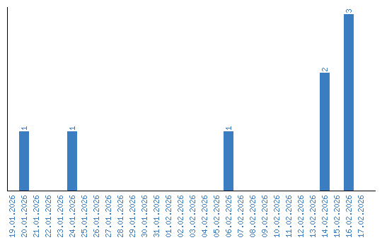
Динамика просмотров по датам