ФотобусАвтобусный транспорт

Информация об изображении

434 КБ


Идентификатор изображения:3280457
Размер файла:434 КБ
Автор:Семен Семеныч
Опубликовано:20.04.2024 23:06 MSK
Находится на сайте, дней:689
Уникальных просмотров:245
Комментариев:0

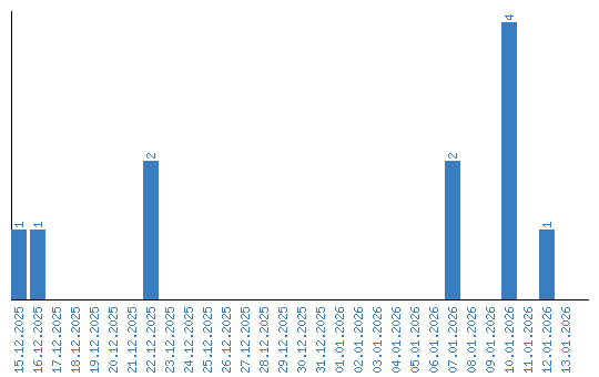
Динамика просмотров по датам