ФотобусАвтобусный транспорт

Информация об изображении

698 КБ


Идентификатор изображения:3270292
Размер файла:698 КБ
Автор:Bogdan Smykov
Опубликовано:05.04.2024 01:56 MSK
Находится на сайте, дней:724
Уникальных просмотров:492
Комментариев:0

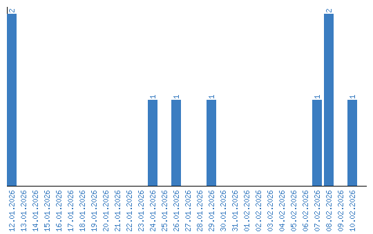
Динамика просмотров по датам