FotobusΜεταφορά με λεωφορείο

Picture Statistics

231 KB


Picture ID:326980
File Size:231 KB
Συγγραφέας:ASG
Publication Date:09.09.2010 13:04 MSK
Days in Database:5549
Unique views:271
Comments:1

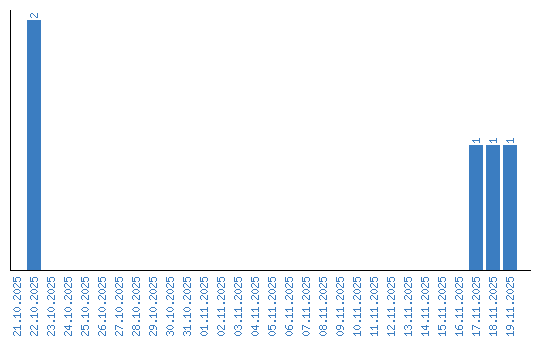
Viewing statistics by date