ФотобусАвтобусный транспорт

Информация об изображении

412 КБ


Идентификатор изображения:3251583
Размер файла:412 КБ
Автор:reshz
Опубликовано:04.03.2024 03:23 MSK
Находится на сайте, дней:577
Уникальных просмотров:373
Комментариев:0

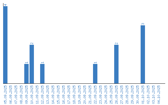
Динамика просмотров по датам