ФотобусАвтобусный транспорт

Информация об изображении

472 КБ


Идентификатор изображения:3245435
Размер файла:472 КБ
Автор:@ra_64051
Опубликовано:23.02.2024 01:22 MSK
Находится на сайте, дней:769
Уникальных просмотров:681
Комментариев:0

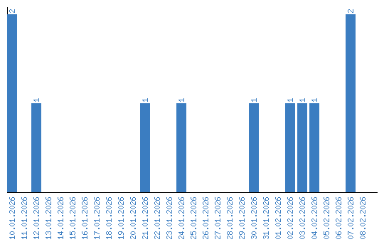
Динамика просмотров по датам