ФотобусАвтобусный транспорт

Информация об изображении

1159 КБ


Идентификатор изображения:3236425
Размер файла:1159 КБ
Автор:Данила Данилов
Опубликовано:09.02.2024 00:17 MSK
Находится на сайте, дней:823
Уникальных просмотров:242
Комментариев:0

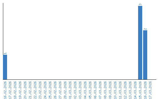
Динамика просмотров по датам