ФотобусАвтобусный транспорт

Информация об изображении

333 КБ


Идентификатор изображения:3231193
Размер файла:333 КБ
Автор:dielektrik
Опубликовано:01.02.2024 20:06 MSK
Находится на сайте, дней:716
Уникальных просмотров:271
Комментариев:0

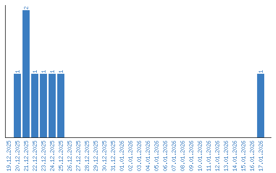
Динамика просмотров по датам