FotobusΜεταφορά με λεωφορείο

Picture Statistics

679 KB


Picture ID:3217181
File Size:679 KB
Συγγραφέας:ВН Цокур
Publication Date:13.01.2024 16:25 MSK
Days in Database:653
Unique views:301
Comments:0

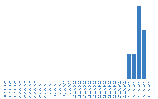
Viewing statistics by date