ФотабусАўтобусны транспарт

Iнфармацыя аб малюнку

344 КБ


Ідэнтыфікатар малюнка:3212035
Памер файла:344 КБ
Аўтар:WEST
Апублікавана:03.01.2024 23:56 MSK
Знаходзіцца на сайце, дзён:804
Унікальных праглядаў:162
Каментарыяў:0

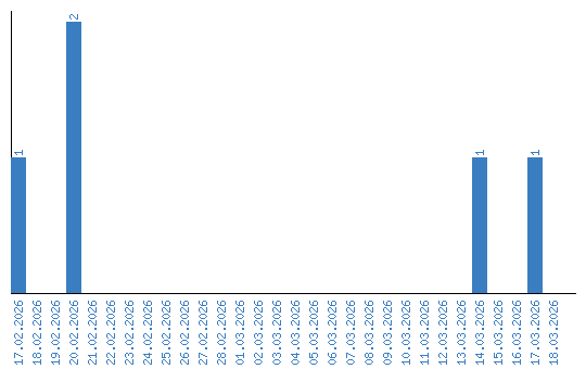
Дынаміка праглядаў па датах