ФотобусАвтобусный транспорт

Информация об изображении

682 КБ


Идентификатор изображения:3210197
Размер файла:682 КБ
Автор:Nikola2000
Опубликовано:01.01.2024 13:22 MSK
Находится на сайте, дней:819
Уникальных просмотров:699
Комментариев:4

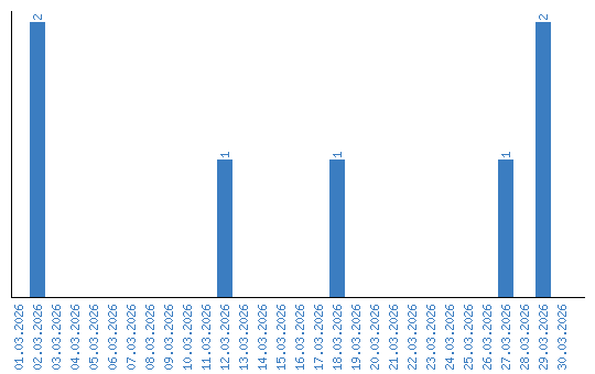
Динамика просмотров по датам