ФотобусАвтобусный транспорт

Информация об изображении

3220 КБ


Идентификатор изображения:3205133
Размер файла:3220 КБ
Автор:УИНСТОН
Опубликовано:23.12.2023 14:12 MSK
Находится на сайте, дней:752
Уникальных просмотров:328
Комментариев:0

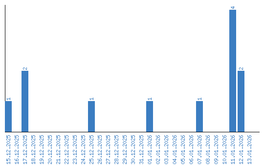
Динамика просмотров по датам