ФотобусАвтобустар галереясы

Информация об изображении

342 КБ


Идентификатор изображения:3202008
Размер файла:342 КБ
Автор:Артем Инферно
Опубликовано:17.12.2023 11:39 MSK
Находится на сайте, дней:698
Уникальных просмотров:154
Комментариев:0

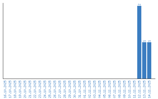
Динамика просмотров по датам