ФотабусАўтобусны транспарт

Iнфармацыя аб малюнку

263 КБ


Ідэнтыфікатар малюнка:3194024
Памер файла:263 КБ
Аўтар:straightcelle
Апублікавана:02.12.2023 19:06 MSK
Знаходзіцца на сайце, дзён:767
Унікальных праглядаў:273
Каментарыяў:0

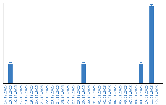
Дынаміка праглядаў па датах