FotobusTransport autobusowy

Informacja o zdjęciu

694 kB


Identyfikator zdjęcia:3192307
Rozmiar pliku:694 kB
Autor:Павел Мельников
Opublikowano:29.11.2023 12:19 MSK
Znajduje się na stronę, dni:687
Odsłon:271
Komentarzy:0

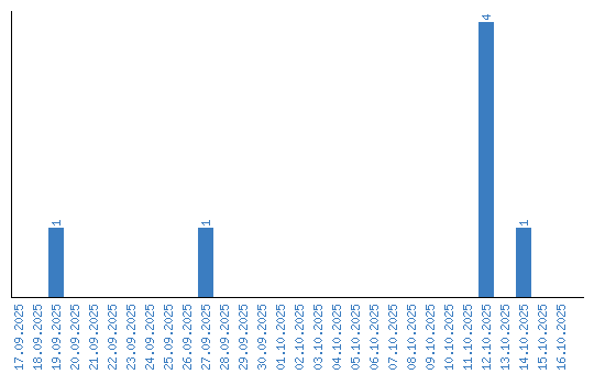
Liczba oglądających wg dat