FotobusBusverkehr

Bildinformationen

523 KB


Foto-ID:3188070
Dateigröße:523 KB
Aufgenommen von:A G
Veröffentlicht am:20.11.2023 23:41 MSK
Tage seit Veröffentlichung:862
Aufrufe:353
Kommentare:0

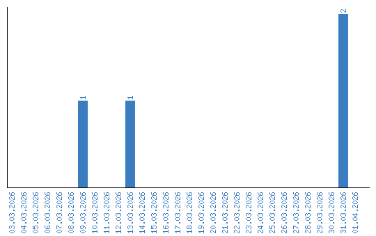
Aufrufestatistik (Tage)