FotobusAutobusová doprava

Statistika obrázku

549 kB


Identifikátor obrázku:3172054
Velikost souboru:549 kB
Autor:Volvych
Zveřejněno:23.10.2023 00:44 MSK
Nachází se na stránkách (dní):861
Jednotlivých zhlédnutí:300
Komentářů:0

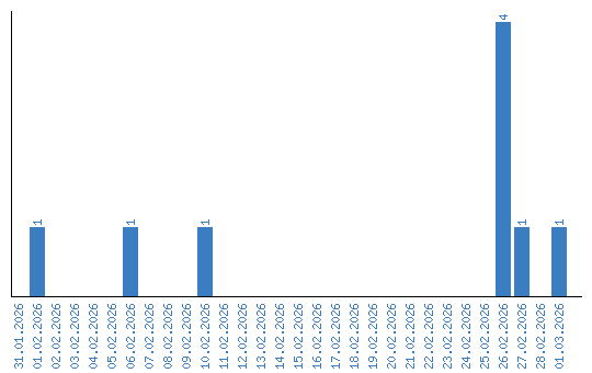
Zhlédnutí po jednotlivých dnech