ФотобусАвтобусный транспорт

Информация об изображении

562 КБ


Идентификатор изображения:3159258
Размер файла:562 КБ
Автор:Владислав Захаров
Опубликовано:03.10.2023 14:40 MSK
Находится на сайте, дней:804
Уникальных просмотров:82
Комментариев:0

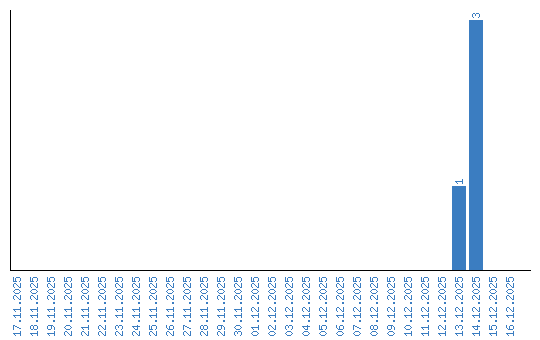
Динамика просмотров по датам