ФотобусАвтобусный транспорт

Информация об изображении

354 КБ


Идентификатор изображения:3153245
Размер файла:354 КБ
Автор:Jeka
Опубликовано:26.09.2023 09:05 MSK
Находится на сайте, дней:759
Уникальных просмотров:251
Комментариев:0

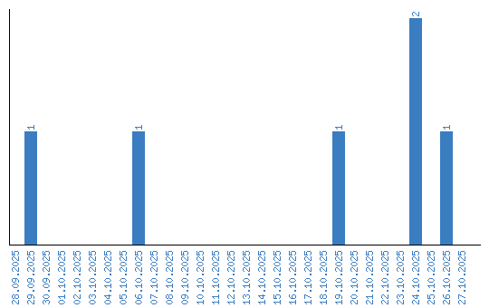
Динамика просмотров по датам