ФотобусАвтобусный транспорт

Информация об изображении

2576 КБ


Идентификатор изображения:3150728
Размер файла:2576 КБ
Автор:Артем Инферно
Опубликовано:23.09.2023 12:38 MSK
Находится на сайте, дней:845
Уникальных просмотров:202
Комментариев:0

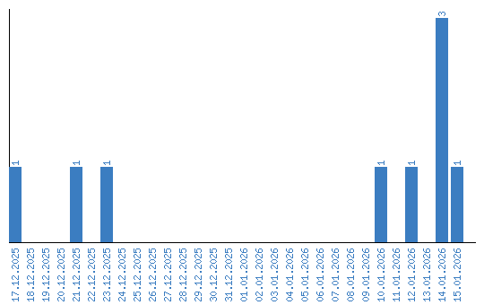
Динамика просмотров по датам