FotobusBusverkehr

Bildinformationen

673 KB


Foto-ID:3143120
Dateigröße:673 KB
Aufgenommen von:Nikola2000
Veröffentlicht am:14.09.2023 21:36 MSK
Tage seit Veröffentlichung:783
Aufrufe:214
Kommentare:0

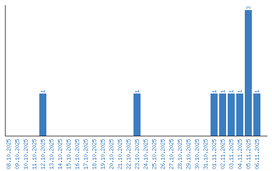
Aufrufestatistik (Tage)