ФотобусАвтобусный транспорт

Информация об изображении

486 КБ


Идентификатор изображения:3139890
Размер файла:486 КБ
Автор:Тихий
Опубликовано:11.09.2023 00:26 MSK
Находится на сайте, дней:895
Уникальных просмотров:362
Комментариев:0

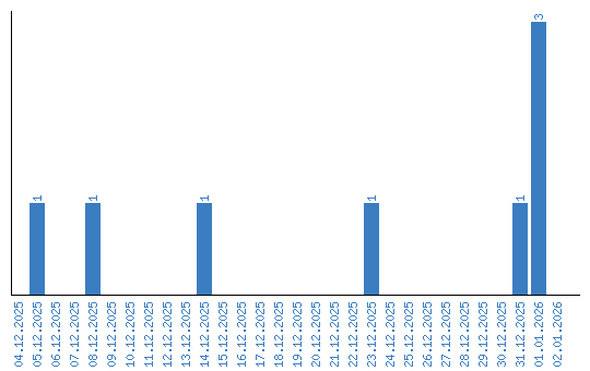
Динамика просмотров по датам