ФотабусАўтобусны транспарт

Iнфармацыя аб малюнку

175 КБ


Ідэнтыфікатар малюнка:312086
Памер файла:175 КБ
Аўтар:Maksimus
Апублікавана:13.08.2010 21:14 MSK
Знаходзіцца на сайце, дзён:5713
Унікальных праглядаў:153
Каментарыяў:0

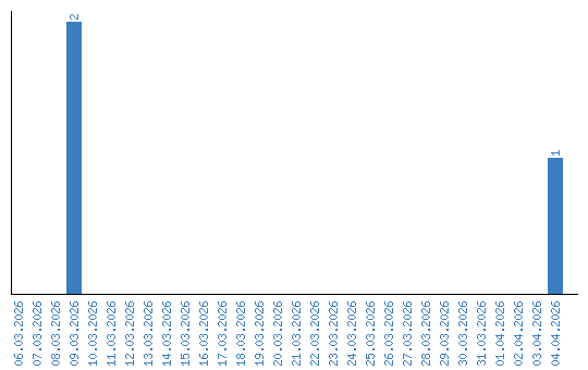
Дынаміка праглядаў па датах