ФотобусАвтобусный транспорт

Информация об изображении

604 КБ


Идентификатор изображения:3112960
Размер файла:604 КБ
Автор:tertiodecimo
Опубликовано:03.08.2023 15:21 MSK
Находится на сайте, дней:901
Уникальных просмотров:177
Комментариев:0

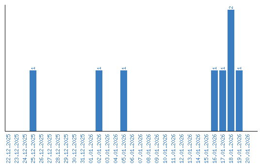
Динамика просмотров по датам