FotobusTransport autobusowy

Informacja o zdjęciu

693 kB


Identyfikator zdjęcia:3112713
Rozmiar pliku:693 kB
Autor:Чайser
Opublikowano:03.08.2023 01:03 MSK
Znajduje się na stronę, dni:800
Odsłon:340
Komentarzy:0

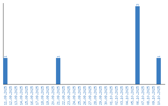
Liczba oglądających wg dat