ФотобусАвтобусный транспорт

Информация об изображении

635 КБ


Идентификатор изображения:3109966
Размер файла:635 КБ
Автор:Лиаз5292_московский
Опубликовано:30.07.2023 23:48 MSK
Находится на сайте, дней:898
Уникальных просмотров:427
Комментариев:0

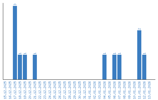
Динамика просмотров по датам