ФотобусАвтобусний транспорт

Статистика по зображенню

338 КБ


Ідентифікатор зображення:3098595
Розмір файлу:338 КБ
Автор:mixkol
Опубліковано:13.07.2023 03:19 MSK
Знаходиться на сайті, днів:950
Унікальних переглядів:419
Коментарів:0

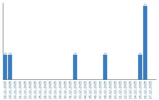
Динаміка переглядів за датами