FotobusΜεταφορά με λεωφορείο

Picture Statistics

677 KB


Picture ID:3094471
File Size:677 KB
Συγγραφέας:Алекс Леженко
Publication Date:06.07.2023 13:49 MSK
Days in Database:896
Unique views:491
Comments:0

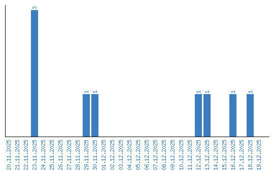
Viewing statistics by date