ФотобусАвтобусный транспорт

Информация об изображении

459 КБ


Идентификатор изображения:3073377
Размер файла:459 КБ
Автор:Евгений Мамыкин
Опубликовано:04.06.2023 18:19 MSK
Находится на сайте, дней:982
Уникальных просмотров:262
Комментариев:0

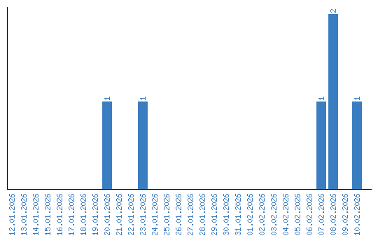
Динамика просмотров по датам