ФотобусАвтобусный транспорт

Информация об изображении

150 КБ


Идентификатор изображения:306129
Размер файла:150 КБ
Автор:Eugen
Опубликовано:02.08.2010 12:28 MSK
Находится на сайте, дней:5670
Уникальных просмотров:511
Комментариев:4

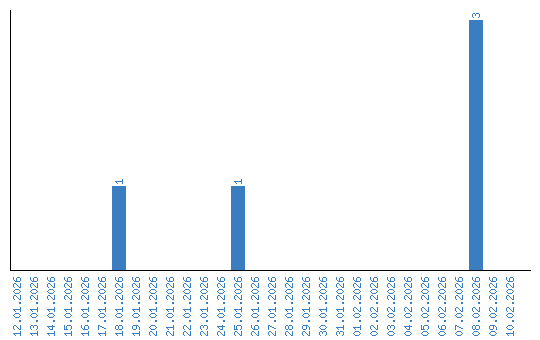
Динамика просмотров по датам