ФотобусАвтобусный транспорт

Информация об изображении

562 КБ


Идентификатор изображения:3061014
Размер файла:562 КБ
Автор:Денис Рогов
Опубликовано:15.05.2023 14:48 MSK
Находится на сайте, дней:880
Уникальных просмотров:390
Комментариев:0

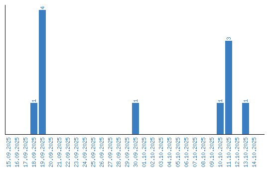
Динамика просмотров по датам