ФотабусАўтобусны транспарт

Iнфармацыя аб малюнку

376 КБ


Ідэнтыфікатар малюнка:3055181
Памер файла:376 КБ
Аўтар:olegp
Апублікавана:05.05.2023 23:06 MSK
Знаходзіцца на сайце, дзён:1044
Унікальных праглядаў:129
Каментарыяў:0

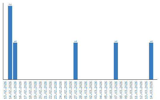
Дынаміка праглядаў па датах