FotobusAutobusová doprava

Statistika obrázku

500 kB


Identifikátor obrázku:3052306
Velikost souboru:500 kB
Autor:Winston Blue
Zveřejněno:01.05.2023 00:16 MSK
Nachází se na stránkách (dní):1053
Jednotlivých zhlédnutí:608
Komentářů:0

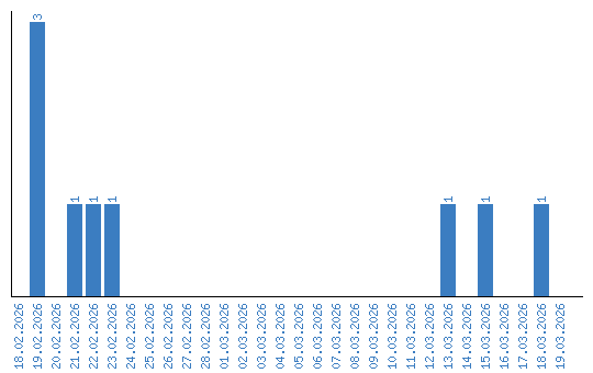
Zhlédnutí po jednotlivých dnech