FotobusAutobusų transportas

Nuotraukos informacija

678 KB


Nuotraukos identifikatorius:3049854
Bylos dydis:678 KB
Autorius:Клауд
Publikuota:28.04.2023 00:40 MSK
Yra tinklapyje dienų:994
Unikalių peržiūrų:182
Komentarų:0

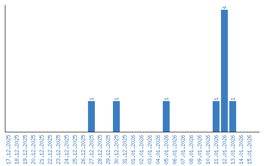
Peržiūrų dinamika pagal dienas