ФотобусАвтобусный транспорт

Информация об изображении

399 КБ


Идентификатор изображения:3046432
Размер файла:399 КБ
Автор:beffan
Опубликовано:22.04.2023 00:04 MSK
Находится на сайте, дней:1077
Уникальных просмотров:366
Комментариев:0

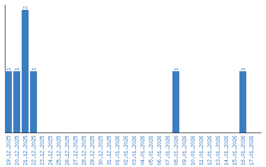
Динамика просмотров по датам