ФотобусАвтобусний транспорт

Статистика по зображенню

587 КБ


Ідентифікатор зображення:3045515
Розмір файлу:587 КБ
Автор:FomVik-Gyl233
Опубліковано:21.04.2023 05:16 MSK
Знаходиться на сайті, днів:931
Унікальних переглядів:357
Коментарів:0

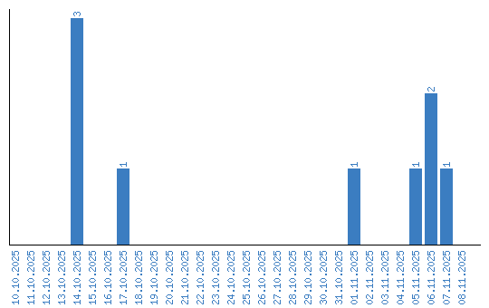
Динаміка переглядів за датами