ФотабусАўтобусны транспарт

Iнфармацыя аб малюнку

688 КБ


Ідэнтыфікатар малюнка:3040521
Памер файла:688 КБ
Аўтар:A R
Апублікавана:13.04.2023 22:00 MSK
Знаходзіцца на сайце, дзён:1029
Унікальных праглядаў:1151
Каментарыяў:0

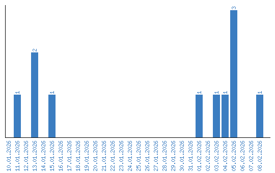
Дынаміка праглядаў па датах